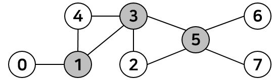
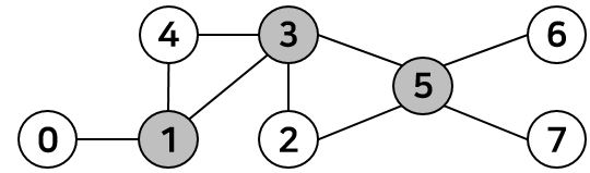
- 절단점(cut vertex): 어떤 무향 그래프의 절단점이란 이 점과 인접한 간선들을 모두 지웠을 때 해당 컴포넌트가 2개 이상으로 나뉘어지는 정점을 말한다.

- 위 그래프에서 1, 3, 5 정점이 각각 절단점이다.
각 지점 별로 탐색하면서, 자식의 depth가 자신의 depth보다 크거나 같다면 단절점이다.
root의 경우 child node가 2이상이면 단절점이다.
DFS
static int dfs(int here, int d, boolean root) {
D[here] = d;
int ret = D[here];
int child = 0;
for (int there: VT[here]) {
if(D[there]==0) {
child++;
int df = dfs(there, d+1, false);
if(!root && df>= D[here]) C[here] = true;
ret = Math.min(ret, df);
} else {
ret = Math.min(ret, D[there]);
}
}
if(root&&child>1) C[here] = true;
return ret;
}
전체 코드
import java.io.BufferedReader;
import java.io.FileInputStream;
import java.io.IOException;
import java.io.InputStreamReader;
import java.util.ArrayList;
import java.util.StringTokenizer;
public class boj11266 {
static int V, E;
static int[] D;
static boolean[] C;
static ArrayList<Integer>[] VT;
public static void main(String[] args) throws IOException {
System.setIn(new FileInputStream("res/input_boj11266.txt"));
BufferedReader br = new BufferedReader(new InputStreamReader(System.in));
StringTokenizer st = new StringTokenizer(br.readLine(), " ");
V = Integer.parseInt(st.nextToken());
E = Integer.parseInt(st.nextToken());
VT = new ArrayList[V+1];
D = new int[V+1];
C = new boolean[V+1];
for (int i = 1; i <= V ; i++) VT[i] = new ArrayList<>();
int a, b;
for (int i = 1; i <= E ; i++) {
st = new StringTokenizer(br.readLine(), " ");
a = Integer.parseInt(st.nextToken());
b = Integer.parseInt(st.nextToken());
VT[a].add(b);
VT[b].add(a);
}
for (int i = 1; i <= V ; i++) {
dfs(i, 1, true);
}
int result = 0;
for (int i = 1; i <= V ; i++) {
if(C[i]) result++;
}
System.out.println(result);
for (int i = 1; i <= V ; i++) {
if(C[i]) System.out.print(i+ " ");
}
}
static int dfs(int here, int d, boolean root) {
D[here] = d;
int ret = D[here];
int child = 0;
for (int there: VT[here]) {
if(D[there]==0) {
child++;
int df = dfs(there, d+1, false);
if(!root && df>= D[here]) C[here] = true;
ret = Math.min(ret, df);
} else {
ret = Math.min(ret, D[there]);
}
}
if(root&&child>1) C[here] = true;
return ret;
}
}